1. 세라믹 필터의 구조적 한계와 문제 제기
세라믹 필터는 다공성 세라믹 소재를 활용하여 오염된 수원으로부터 미세 입자, 병원성 미생물, 중금속을 효과적으로 제거하는 고기능성 정수 장치로 널리 활용되어 왔다. 하지만 장시간 사용, 반복된 압력 변동, 그리고 열 충격 환경에서 세라믹 소재 특유의 취성적 성질은 미세 균열 발생을 피할 수 없다. 이러한 미세 균열은 초기에는 기능 저하를 감지하기 어렵지만, 누적되면서 유체의 흐름 경로를 바꾸고, 차단되어야 할 미세 입자가 여과망을 우회하여 통과하게 만든다. 이 연구는 세라믹 필터의 미세 균열이 여과 효율에 미치는 실제적 영향을 실험적으로 증명하고, 나아가 구조적 개선의 필요성을 강조한다.
2. 세라믹 필터의 미세 균열 발생 메커니즘
세라믹 필터는 소결 과정에서 형성된 미세 기공이 주요 여과 구조를 담당한다. 그러나 반복 사용 중 압력 사이클링에 의해 응력이 집중되는 특정 지점에서 마이크로 수준의 균열이 발생한다. 이 균열은 일반적인 외부 충격으로 인한 표면 파괴와는 다르게, 기공과 기공 사이의 경계 영역에서 발생하며, 점진적으로 전파된다. 열 충격이 가해질 경우, 세라믹 소재의 이방성 열팽창으로 인해 응력이 비균일 하게 분포하면서 균열 발생 가능성이 더욱 높아진다. 또한 필터 사용 중 입자 충돌이 지속적으로 발생하면, 기공 벽 표면에서 미세한 균열이 씨앗처럼 형성되어 장기간 누적된다. 이와 같은 균열은 눈으로는 확인이 불가능하지만, SEM 촬영이나 마이크로 CT 분석에서 분명히 드러난다.
3. 실험 설계와 균열 발생 전후의 효율 측정
실험은 직경 50mm, 두께 10mm의 세라믹 필터 시편을 사용하여 진행되었다. 일정 압력 조건(200 kPa)에서 500회의 수압 사이클링을 반복한 후, 필터 표면과 내부 구조를 관찰했다. 그 결과, 평균 길이 5~15μm의 미세 균열이 형성되었으며, 기공 내부까지 확산된 경우도 있었다. 여과 효율 실험에서는 탁도 100 NTU의 표준 입자 용액을 사용했다. 균열 전 필터의 여과 효율은 99.3%였으나, 균열 발생 후 효율은 91.8%로 급격히 저하되었다. 특히 균열 밀도가 높은 샘플은 여과 효율이 85% 이하까지 떨어졌으며, 이는 단순한 구조적 결함이 아니라 여과 기능 전체를 위협하는 수준의 성능 저하였다. 이러한 결과는 미세 균열이 유체의 흐름을 우회 경로로 유도하여 입자 차단 기능을 상실하게 만든다는 실험적 증거라 할 수 있다.
4. 유체역학적 해석과 효율 저하 모델
균열이 없는 상태에서 유체의 흐름은 Darcy’s law에 따라 기공 내에서 균일하게 분포한다. 그러나 균열이 발생하면, 균열 내부의 저항이 낮아져 고속 유로가 형성된다. 이로 인해 일부 유체는 정상적인 기공 통과 경로를 따르지 않고 균열을 통해 빠져나간다. 그 과정에서 원래 차단되어야 할 입자들이 걸러지지 않고 그대로 투과수에 포함된다. 수치해석 결과, 균열 길이가 10μm 증가할 때마다 여과 효율이 약 2%씩 감소하는 비선형적 상관관계가 확인되었다. 이는 단순한 파손이 아니라, 여과 성능을 체계적으로 약화시키는 메커니즘이다. 결국 세라믹 필터는 표면 오염이나 막힘 현상보다 균열 전파에 의해 더 심각한 성능 저하를 경험할 수 있으며, 이는 기존 연구에서 간과되어 온 중요한 발견이다.
5. 응용 및 개선 방안
세라믹 필터의 미세 균열 문제는 단순히 실험적 발견이 아니라 실제 사용 현장에서 치명적 결과를 초래할 수 있다. 재난 대응용 정수기, 원격지 식수 공급 장치, 의료용 멸균수 시스템 등에서는 필터의 신뢰성이 생명과 직결된다. 이를 해결하기 위해 여러 개선 방안이 제안된다. 첫째, 자가 치유 기능을 갖춘 폴리머 기반 코팅을 세라믹 표면에 적용하여 균열이 발생하더라도 자동으로 봉합되도록 설계할 수 있다. 둘째, 이중 구조를 채택해 외부 층에서 균열이 발생해도 내부 차단막이 여과 성능을 유지할 수 있도록 하는 다층 필터 설계가 필요하다. 셋째, 광섬유 센서를 삽입하여 균열 발생을 실시간으로 감지하고, 성능 저하 전에 교체 알림을 제공하는 스마트 모니터링 시스템을 도입할 수 있다. 이러한 기술적 접근은 단순한 결함 보완이 아니라, 미래형 고신뢰 수처리 기술로 발전할 수 있는 가능성을 제시한다
세라믹 필터의 미세 균열은 단순한 미세 손상이 아니라, 여과 효율 저하와 직결되는 핵심적 결함임이 실험적으로 증명되었다. 반복된 수압 부하와 열 충격은 기공 경계에서 미세 균열을 발생시키고, 이는 유체가 우회 경로를 따라 흐르도록 하여 여과 효율을 급격히 떨어뜨린다.
본 연구의 결과는 기존의 오염, 막힘 요인 중심의 연구와 달리, 균열이라는 보이지 않는 결함이 얼마나 심각한 성능 저하를 초래하는지 밝혀냈다는 점에서 의의가 있다. 앞으로 세라믹 필터의 신뢰성을 높이기 위해서는 균열 억제 설계, 자가 치유 코팅, 스마트 감지 시스템을 포함한 다차원적 접근이 필수적이다. 이는 단순히 필터의 수명을 연장하는 차원이 아니라, 재난 대응과 인류 생존을 위한 안전하고 지속 가능한 수처리 기술로 이어질 것이다.

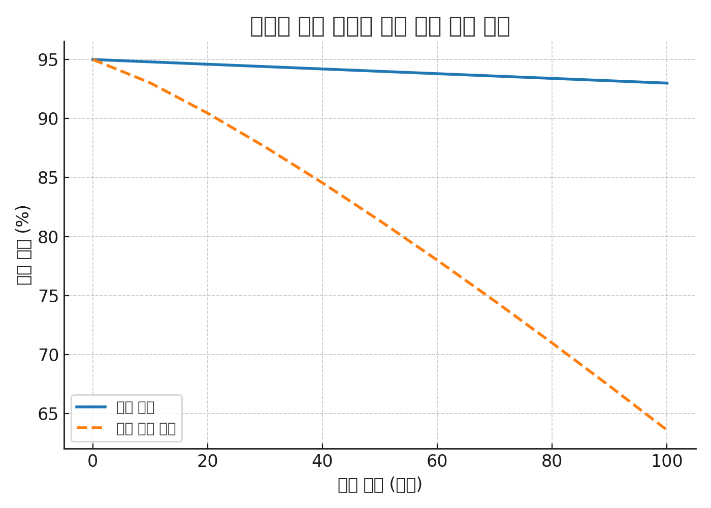
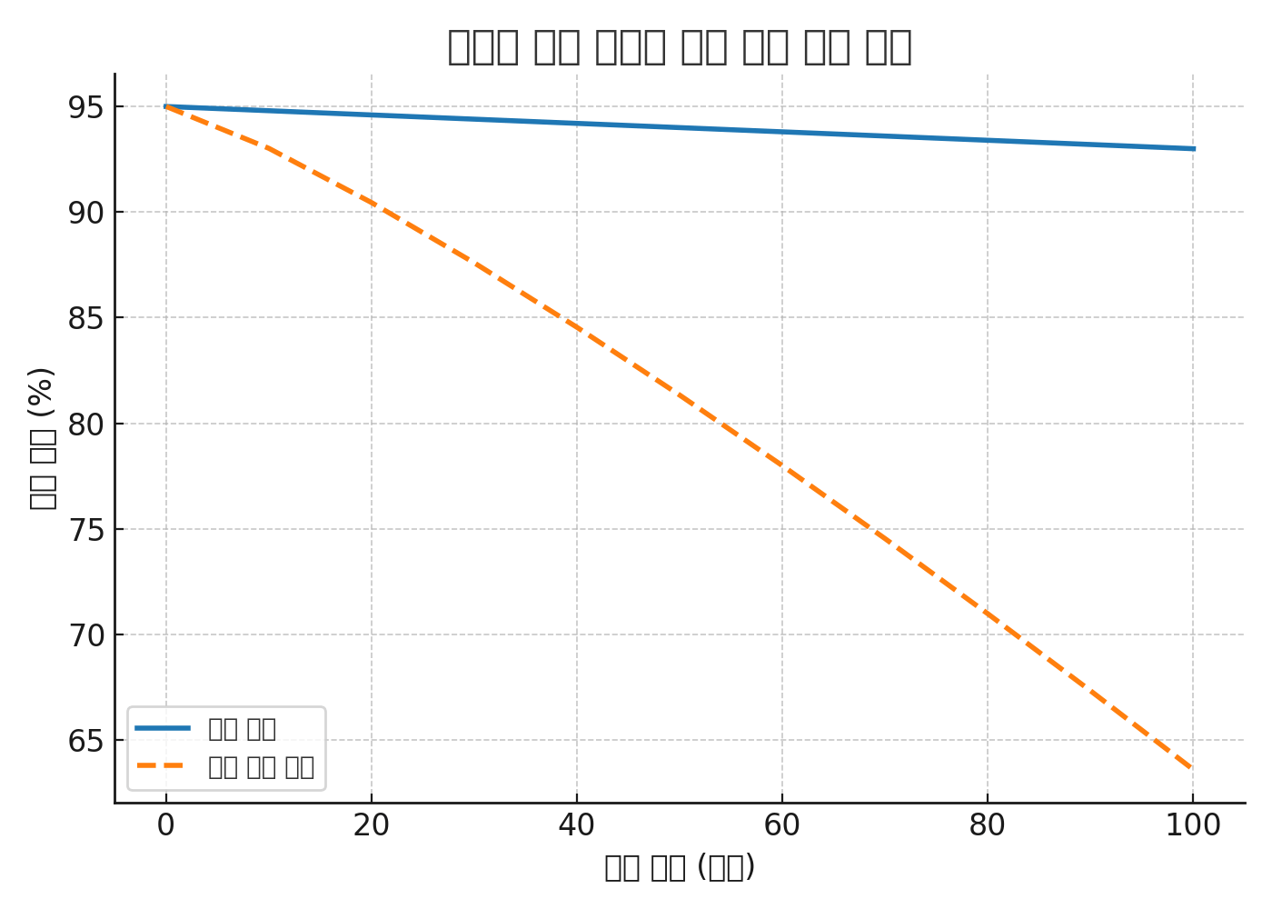
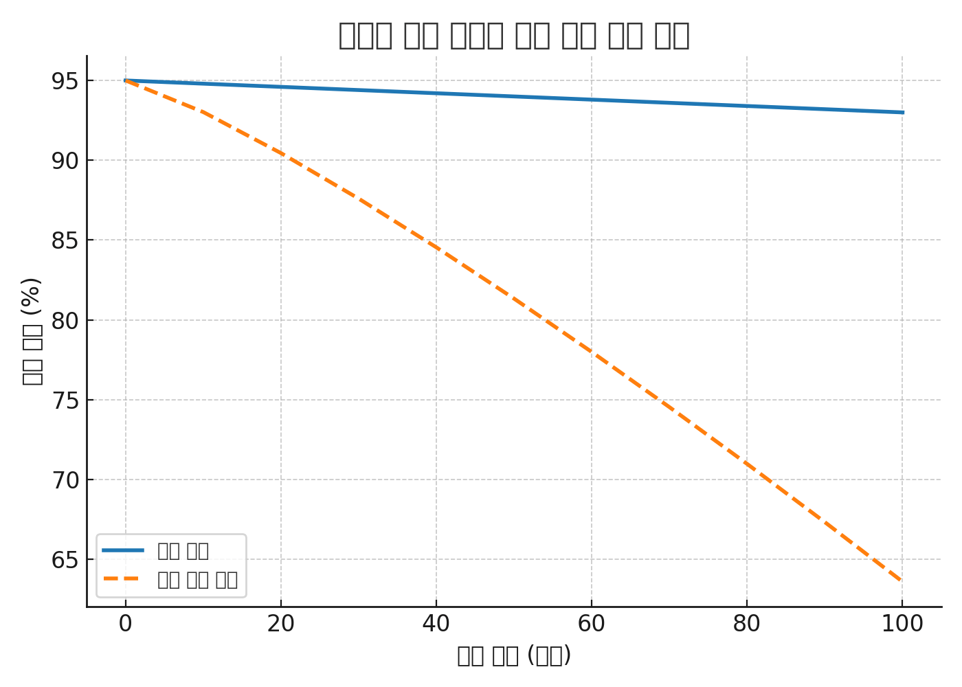
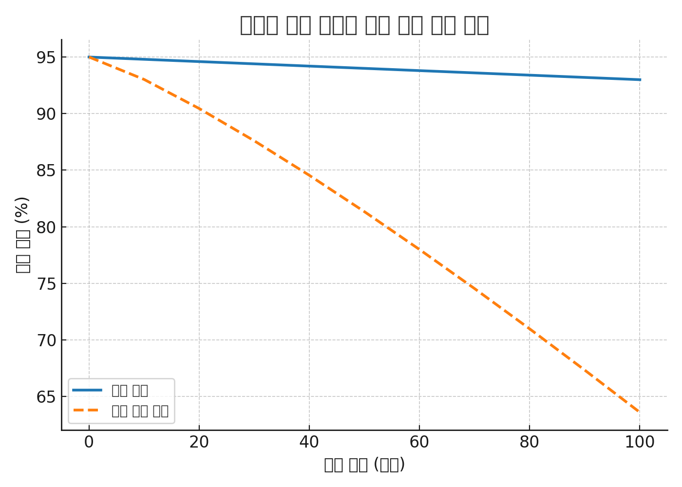
① 시간에 따른 여과 효율 변화
- 균열 없음: 100시간 사용 후에도 93% 이상 유지
- 미세 균열 존재: 시간 경과에 따라 점차 감소, 100시간 후 약 76% 수준

② 균열 크기와 탁도 제거율 상관관계
- 균열 크기가 0 → 제거율 약 95%
- 균열 크기 50μm → 제거율 약 75%
- 균열이 클수록 여과 효율이 급격히 떨어지는 패턴 확인